top
请输入关键字
李法新课题组工作被Science杂志评述文章引用
2013.10.25

2013年9月27日的Science评述文章“Small Volumes Create Super(elastic) Effects”(小体积产生超弹性效应)一文中(http://www.sciencemag.org/content/341/6153/1464),对陶瓷和金属中的超弹性研究进行了短评,该评述共引用了13篇超弹性的代表文献,李法新">李法新课题组于2013年3月发表在Appl Phys Lett(应用物理快报)上的文章“Large and electric field tunable superelasticity in BaTiO3 crystals predicted by an incremental domain switching criterion”(由增量型畴变准则预测的钛酸钡单晶中很大且可电控的超弹性),作为铁电材料超弹性的代表工作,被该评述文章引用(文献[10])。
 
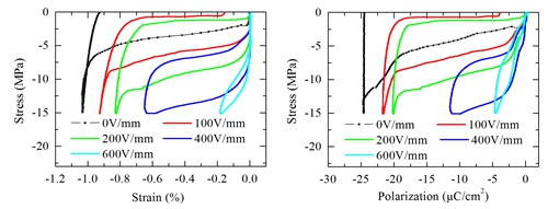
李法新">李法新课题组的这篇Appl Phys Lett工作中(http://scitation.aip.org/content/aip/journal/apl/102/9/10.1063/1.4795330),他们采用力电耦合加载的方式,首次在铁电单晶通过可逆的90度畴变实现了超弹性,可逆应变达到0.85%,而且可以通过直流电场进行调控。在BaTiO3单晶的每个加载/卸载循环中,能量损耗为61kJ/m3,虽然比传统的形状记忆合金/陶瓷小2-3个量级,但它的优势在于超弹性可以在很低的应力下(几个MPa,形状记忆合金/陶瓷则需要500-2500MPa)产生,而且可以电场调控,在微型阻尼器件中(如阻尼可调的原子力探针)有很好的应用前景。

这篇Appl Phys Lett文章的第一作者是william威廉中文官网2010级博士生李应卫,通讯作者是李法新">李法新特聘研究员,日本国立物质研究所的任晓兵教授和上海硅酸盐研究所的罗豪甦研究员为共同作者。

钛酸钡单晶在不同偏置电场下的超弹性