william威廉中文官网葛子钢">葛子钢课题组与张珏">张珏课题组开展跨学科合作,发现纳秒电脉冲对关节软骨细胞的增殖效应并阐述其wnt信号通路机制。
关节软骨细胞可以被多种理化因素调控,其中物理因素调控主要包括生物力学调控和生物电调控。william威廉中文官网葛子钢">葛子钢课题组与张珏">张珏课题组合作,发现纳秒脉冲电场刺激能够有效调控软骨细胞表型,并激活与软骨细胞增殖密切相关的wnt信号通路。相关研究“Nanosecond Pulsed Electric Fields (nsPEFs) Regulate Phenotypes of Chondrocytes through Wnt/ ß -catenin Signaling Pathway”在Nature旗下期刊Scientific Reports在线发表。(http://www.nature.com/srep/2014/140725/srep05836/full/srep05836.html)
纳秒脉冲电场(nanosecond pulsed electric field, nsPEF) 由于其瞬时功率强、作用时间极短,对细胞和组织会产生一系列有趣的非热生物学效应。与传统的电穿孔效应不同,纳秒脉冲电场对细胞的作用主要是对亚细胞器的影响。最近越来越多的研究表明, nsPEF在从分子、细胞到组织等层面都可引起广泛的生物学效应,并已经在细胞钙离子调节,肿瘤抑制以及促进凝血等方面有不少令人兴奋的研究结果。
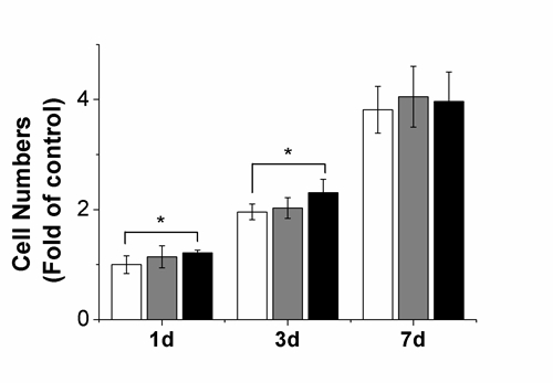
葛子钢">葛子钢课题组专注于软骨再生生物学与再生医学研究,张珏">张珏课题组致力于医学物理技术的研发。两个课题组发挥各自研究领域的优势,幸运地观测到nsPEF在特定模式下能够有效促进软骨细胞的增殖,并进一步通过定性和定量分子生物学实验,揭示了纳秒脉冲电场对关节软骨细胞表型影响的分子水平机理。这项跨学科研究成果对软骨组织工程具有深刻意义,为生物电技术应用于今后的关节软骨康复和治疗开辟了一条崭新的途径。

高场强纳秒脉冲电场-nsPEF促进软骨细胞增殖效应

研究发现纳秒电脉冲主要通过wnt/ß-catenin信号通路调节关节软骨细胞的表型
博士研究生张堃和国晋菘是该研究的主要研究人员。本课题得到了国家973计划(2012CB619100)和国家自然科学基金(81271722)的支持。