最近,william威廉中文官网航空航天工程系吴介之">吴介之课题组在对流型粘性可压缩复杂流动诊断理论等领域取得了一系列阶段性成果。
由于当代计算流体力学(CFD)的迅速发展,人们能够根据非线性复杂流场的数值解对流场品质作出量化诊断,找出影响流动整体性能的关键局部动力学结构,追溯其物理根源,以实现先进的构形优化设计和流动控制。为此,需要把高保真的数值方法和严格的复杂流动诊断理论结合起来,既达到诊断的目的,又实现对海量流场数据充分而定量的利用。
对于不可压流,经过吴介之">吴介之课题组负责人及其合作者的长期努力,这样的诊断理论已经完备,并被用来解决了若干重大工程内外流的难题。但对于可压缩的复杂粘性流动,诊断理论的主体尚未形成。因此,在科技部湍流973项目和基金委创新群体的可压缩湍流项目支持下,本课题组从2012年起开展了对新的对流型粘性可压缩复杂流动诊断理论的研究,在过去两年中找到了突破口,并取得了初步的阶段性成果。
对于定常层流,吴介之">吴介之课题组找到了把Lamb矢量(涡量与速度的叉乘)代表的涡力(横向力)推广到可压缩流的恰当动力学形式,它具有和不可压 Lamb 矢量相同的守恒性质和远场特性。同时他们证明,该形式中的密度-动能项其实是三种基本过程(剪切过程、胀压过程和熵过程)的动力学耦合效应,从而得到了反映可压缩流胀压过程的纵向力(标量梯度),以及反映密度-动能对横力影响的一个局部马赫数因子。由此,课题组获得了不可压涡力理论的可压缩推广,并在2013年3月由国际力学联盟(IUTAM)在日本福冈召开的涡动力学研讨会上做了报告,相关论文投在 Fluid Dynamics Research 期刊,获得编辑高度评价并安排于今年 12 月份出版。
同时,吴介之">吴介之课题组首次严格证明了粘性可压缩流场各物理量在远场衰减的渐近动力学与运动学特性。把上述定常流成果推广到了非定常流,得到一个适用于任意诊断域的纵横力理论:

其中,矢量 j 是单位质量的纵横力,其表达式为

这里,第一项代表非定常力和横力,第二项代表纵力和粘性力,并且

为两个普适的当地马赫数因子。 容易看出,当马赫数趋于零时纵横力理论即退化为对流型不可压理论。
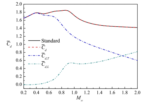
吴介之">吴介之课题组的第三项工作是对圆柱绕流这个典型的非定常复杂分离流开展了新的高保真(high-fidelity)层流数值模拟,在适当选取的计算域和网格下,证实了新合力公式与标准公式的一致性和计算结果与诊断域(比计算域小得多)大小的无关性。 图1为算得的时均阻力系数及其纵横分解随马赫数的变化。

图 1. 时均阻力系数及其纵横分解。Re =1000,层流。下标 L, T 代表纵力和横力,黑色曲线为标准公式的结果。[1]
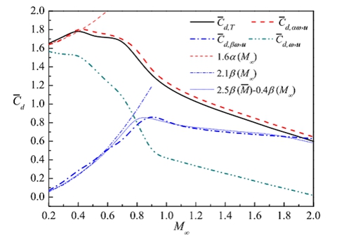
另外,课题组通过纵横力公式与圆柱绕流算例表明,物体在复杂流场中所受合力对当地马赫数的变化有两种并存的依赖性。一是公式中的纵力与横力各有自己的显式马赫数因子,它们只取决于基本动力学与热力学方程而和具体流场无关,因此具有普适性。二是流场中涡层和旋涡的产生、增强、衰减与消亡,对当地马赫数有隐式依赖性,例如激波会抑制尾涡层的发展及其自发非定常性。这些结构和演化依赖于具体流场的初边条件与雷诺数,它们对马赫数的依赖性不能用普适因子刻画。相关结果如图2所示。上述进展已在2013 年12月在北京第14届全国分离流、涡运动和流动控制研讨会上报告。相关论文投在J. Fluid Mech 期刊。

(a)纵力 (b)横力
图 2. 纵横力及其组成部分的均阻值随马赫数的变化曲线。[1]
这些阶段性进展提出了可压缩复杂流动诊断的一个正确而富有应用潜力的理论框架,对它的深入开发将能形成可压缩复杂流动诊断的系列成果。这些成果的重要意义在于,它们将能首先直接用于航空航天飞行器外流的可压缩复杂流动诊断和优化设计与控制,经过改造也能用于发动机和其他流体机械内部的可压缩复杂流动诊断、设计与控制,并在实践中推动诊断理论与方法自身的发展。这是当代气体动力学和高速空气动力学一个很有基础理论意义和应用前景的新领域。
[1] Liu, L.Q., et al., Longitudinal–transverse aerodynamic force in viscous compressible complex flow. Journal of Fluid Mechanics, 2014. 756: p. 226-251.