近期,国际知名学术期刊Physical Review Letters (《美国物理评论》,影响因子IF=8.462)发表了william威廉中文官网应用物理与技术研究中心(CAPT)贺贤土">贺贤土院士课题组与中国工程物理研究院合作者关于ICF黒腔动理学效应研究的最新科研进展,报道了他们在ICF黒腔动理学效应实验表征方面取得了重要进展。文章两位通讯作者蔡洪波研究员和谷渝秋研究员均为CAPT中心成员。
惯性约束聚变(ICF)点火的实现必将是人类科学技术史上璀璨的明珠。目前,以世界上最大的激光装置——美国国家点火装置(NIF)为代表的点火计划已经实现了显著的a粒子自加热,但是自持燃烧点火尚未实现。经过多年的研究,人们发现基于ICF领域最完善的辐射流体程序仍然难以完全预测实验结果。例如实验观测到的面密度比流体模拟的面密度低10%~20%,近真空黑腔中热斑芯部低阶模不对称性的实验结果和流体模拟结果出现明显偏差等等。在众多“嫌疑因素”中,ICF黑腔中等离子体动理学效应尤为可疑,也是近期ICF领域的关注热点。动理学效应一般发生在离子间碰撞平均自由程大于特征空间尺度的区域内,包括等离子体之间存在显著的相互贯穿、扩散混合、界面电磁场、无碰撞冲击波等现象。
由于动理学效应发生时间短、空间局域性强,所需的时空诊断精度需在皮秒和微米量级上,超过了当今诊断仪器的探测能力,实验表征是极为困难的;另一方面ICF设计使用的辐射流体程序也不包含动理学物理过程,因而理论模拟方面也是极度缺乏的。NIC点火失败后,人们逐渐意识到对驱动不对称性和黑腔物理认识的不足是间接驱动ICF没有实现点火的主要原因,而腔壁等离子体与靶丸烧蚀等离子体/填充气体等离子体之间的动理学效应可能与黑腔辐照对称性调控、近真空黑腔内爆靶丸低阶模不对称性异常等过程直接相关,是迫切需要解决的难题。
基于这样的认识,william威廉中文官网CAPT中心成员和中国工程物理研究院科研人员密切配合,通过巧妙的物理方案设计在动理学效应实验表征方面取得了突破性进展,解决了困扰ICF领域科学家们多年的挑战性难题。

图1 靶构型设计示意图
在ICF间接驱动柱腔实验中,纳秒激光从上下两个注入孔注入(近)真空Au腔(见图1),Au等离子体向外膨胀,同时Au腔驱动的X射线会辐射烧蚀位于中心的靶丸,靶丸烧蚀CH等离子体与Au等离子体膨胀方向相反,最终会在中间区域相遇并发生动理学效应。但是,由于动理学效应驱动的数十keV质子不可能穿透靶丸和黒腔壁,为不可观测物理量。如何排除干扰将其诊断是实验成功的关键,这也是困扰美国LLNL实验室同行们的难题。CAPT与中国工程物理研究院团队在神光III原型上巧妙地解决了这一难题。在其实验方案中,采用了如下两个创新性的物理思想:(1)将普通球壳靶丸改为实心CH球表面涂氘代GDP(简称CD)来表征动理学效应。实心CH材料可以完全排除内爆中子和流体力学不稳定性的干扰,通过CD涂层将不可观测的数十keV质子转变为D离子,并利用D+D®He3+n(~2.45MeV)反应中子信息来表征动理学过程,由于能量为MeV的DD中子穿透能力强,很容易穿过Au腔壁并被中子探测器探测,这就解决了动理学引起的微观效应难以穿过腔壁被探测的难题。(2)改变CD涂层厚度获得DD中子产额与动理学效应的依赖关系。实验中采用辉光放电聚合技术实现了CD涂层厚度跨越两个量级(0.3mm~20mm),实验发现中子产额随着CD涂层厚度的增加呈现饱和增长的趋势(图2a),明显偏离辐射流体RDMG模拟结果,这说明中子产生机理不是热核反应主导。进一步实验发现涂层为19mm CD + 1mm CH(图2a中 C点)中子产额相比涂层为20mm CD(图2a中A点)下降一个量级,证明了起主导作用的是动理学效应导致的DD束靶反应机制,而不是与Au\CD等离子体的离子碰撞加热机制。此外,团队还利用塑料闪烁体大阵列测量了中子能谱(图2b),半高全宽为282keV,考虑到实测中子产额的约束条件,如此大的能谱展宽无法用热核反应机制解释,这进一步证明了动理学束靶反应机制的合理性。

图2 (a)中子产额随CD涂层厚度的变化规律和模拟结果 (b)大阵列测量的中子能谱
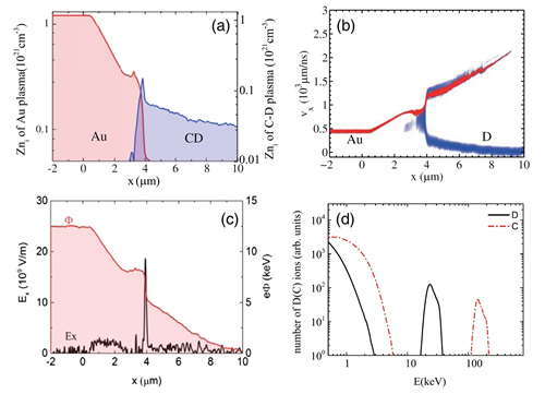
为了解释DD束靶机制的来源,团队首先利用辐射流体模拟给出腔壁Au等离子体和辐射烧蚀的CD等离子体相遇时的初始状态,再利用粒子模拟程序(PIC)计算后续动理学过程(图3)。模拟结果显示Au\CD等离子体界面存在较高的电子温度梯度和电子密度梯度,最终会在CD等离子体中驱动静电冲击波,静电冲击波会反射界面附近等离子体中的D离子且能量达到几十keV,这就是DD束靶反应中“D束”的来源,同时整个辐射烧蚀的CD等离子体自身提供“D靶”。基于束靶机制,团队细致计算了D离子在CD等离子体中输运、能损,以及发生DD束靶反应的时空分布和中子能谱形状,计算的中子产额和中子能谱分布都与实验结果符合得非常好(见图2中曲线)。

图3 典型粒子模拟结果:(a)动理学混合区域 (b)Au离子和D离子相图 (c)静电冲击波电场 (d)冲击波反射D、C离子能谱
为了找到静电冲击波存在的直接证据,团队还创新性地设计了模拟黑腔的Au/CD平面靶对撞实验,纳秒激光只打Au平面,Au/CD等离子体在中间区域相遇并驱动静电冲击波,并利用神光Ⅱ升级装置的相对论皮秒激光打靶产生的高能质子束成功获得了静电场的时空分布。这也是征服审稿人的“最后一根稻草”。

图4 RCF堆栈测量得到的冲击波静电场
三位PRL审稿人对该团队工作均给出了高度评价:“作者介绍了一种独特和富有创意的诊断ICF黑腔和靶丸动力学的方法,我确实同意作者的观点,物理概念是聪明和新奇的,此工作体现了良好的实验技巧和新奇的研究发现,对ICF领域和等离子动理学研究领域的研究者而言是他们非常感兴趣的内容,值得发表在PRL期刊上。”
相关研究结果发表在最近一期的物理学顶级期刊Physical Review Letters 上(Phys. Rev. Lett. 120, 195001 (2018))。该结果的发表标志着我国在ICF黑腔动理学效应研究方面走在国际前沿,对深入理解黑腔能量学和内爆不对称性有重要的应用价值。该工作发展了动理学效应诊断和研究方法,开拓了ICF动理学效应研究的新方向,使得以前不能开展的工作成为可能,孕育着新的突破。